发布时间:2019-04-23 19:22 信息来源:湘微教育作者:郴州科龙职业技术学校点击量:次

关于做好普通高中学业水平选择性考试成绩计入高考录取总成绩工作的通知
各市州、县市区教育(体)局,各普通高等学校:
根据《教育部关于普通高中学业水平考试的实施意见》(教基二〔2014〕10号)、《湖南省人民政府关于印发<湖南省高考综合改革实施方案>的通知》(湘政发〔2019〕8号)等文件精神,现就做好我省普通高中学业水平选择性考试成绩计入高考录取总成绩工作有关事项通知如下:
一、选择性考试科目与考试安排
(一)考试科目。选择性考试科目为思想政治、历史、地理、物理、化学、生物学6门科目。普通高中学生可根据自身兴趣、志向、优势和普通高校招生专业选考科目要求,在6门科目中选择3门参加考试。其中,物理或历史为首选科目,考生只能选择其中1门参加考试;思想政治、地理、化学、生物学4门科目为再选科目,考生从中选择2门参加考试。
(二)考试安排。选择性考试从2021年开始实施,每年组织1次,考试时间安排在当年6月全国统一高考结束后进行。选择性考试每门科目的考试时间为90分钟,考试卷面满分100分。
二、成绩呈现及使用
(一)成绩呈现
1.选择性考试科目中,首选科目成绩直接以原始成绩呈现;再选科目成绩以等级赋分转换后的等级成绩呈现。
2.等级赋分办法。等级赋分以30分作为赋分起点,满分为100分。将考生每门再选科目考试的原始成绩从高到低划定为A、B、C、D、E五等,各等级人数所占比例分别为15%、35%、35%、13%和2%。转换基数为实际参加该再选科目考试并取得有效成绩的人数。转换时,将A至E等级内的考生原始成绩,依照等比例转换法则,分别转换到100~86分、85~71分、70~56分、55~41分、40~30分五个等级分数区间(具体等级比例和赋分区间见附件),根据转换公式计算,四舍五入得到考生的等级成绩。转换后的等级成绩一分一档,考生排序不变。
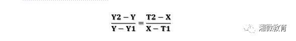
3.等级赋分转换公式。

Y1、Y2分别表示某等级原始分数区间的下限和上限;T1、T2分别表示相应等级的赋分区间的下限和上限;Y表示考生的原始成绩,X表示考生转换后的等级成绩。考生原始成绩正好为原始分数区间上限或下限时,不需要按转换公式计算,相应的赋分区间的上限或下限分数即为该考生的等级成绩。
(二)成绩使用。选择性考试成绩当年高考录取有效,计入考生高考录取总成绩,作为高校招生录取的依据。
三、建立再选科目托底保障机制
当再选科目中某科目考试人数少于保障基数时,以保障基数为准,从高到低进行等级赋分。保障基数按照国家相关学科人才培养的需求等因素予以确定。
四、其他事项
考试组织管理按照教育部和湖南省普通高校招生考试工作有关规定执行。
本办法自2018年秋季入学的高中一年级学生开始实施,2021年进行首次选择性考试。
附件:湖南省普通高中学业水平再选科目考试成绩计入高考总成绩的等级比例和赋分区间
湖南省教育厅
2019年4月22日
附件
湖南省普通高中学业水平再选科目考试成绩计入高考总成绩的等级比例和赋分区间
|
等 级 |
A |
B |
C |
D |
E |
|
比 例 |
15% |
35% |
35% |
13% |
2% |
|
赋分区间 |
100-86 |
85-71 |
70-56 |
55-41 |
40-30 |

